SYSTEM REQUIREMENTS

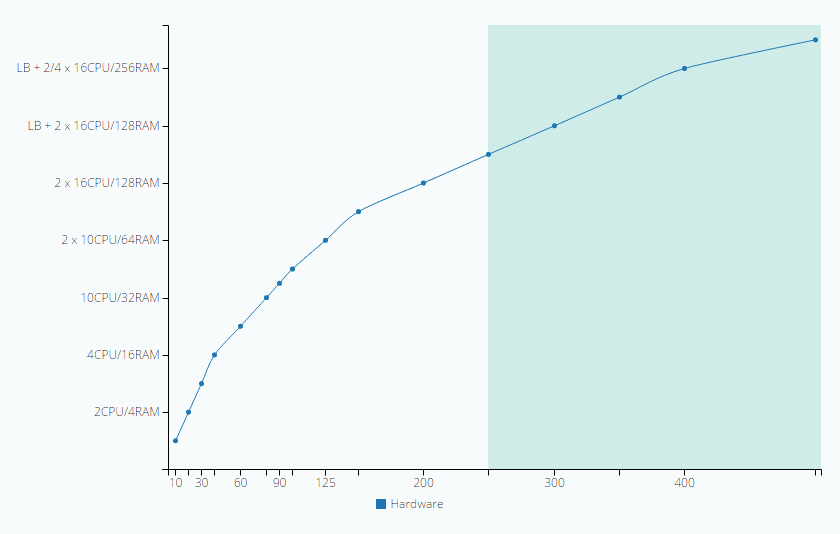
Hardware

The same hardware is needed for enterprise und community version.
Odoo is an undemanding system. For 5-employee companies, a 2 CPU 2 RAM server would be enough (recommended 8 RAM), raising to 4 CPU 8 RAM for 20 employees. We would recommend splitting application and database servers for 90 employees. Load balancing (LB) of application server would be needed for a company of 250+ employees.

Scalability

Following the Hardware abstract, Odoo can be scaled up for companies of almost any size. Proper infrastructure provider selection, applications load balancing and database replication can do magic with this open source ERP.
 

Flexibility

 

It is the most scalable business application for two good reasons:

1. Open Source
2. Modular structure: All functions can be customized via modules and database configuration.

If your company changes fast and experiments with processes, then Odoo should fit perfectly well.